Lompat ke konten Lompat ke sidebar Lompat ke footer

Karya Ilmiah Dengan Tema Aktivitas Pergaulan Dan Prestasi Belajar Siswa - Pengertian Karya Ilmiah Meliputi Jenis Fungsi Struktur Dan Contohnya Lengkap Ilmuips My Id Materi Belajar Gratis : Kecerdasan emosi dan intelektual siswa 3) tujuan penelitian :

siswa sma labschool upi bandung karya ilmiah ini kami susun dengan hrapan semoga kami dan membaca dapat mengetahui pengarah rendahnya minat belajar terhadap bangsa, serta cara mengatasinya. Menemukan informasi yang dapat dikembangkan menjadi karya ilmiah. Dalam rangka penulisan karya tulis ilmiah ini, penulis mencoba merumuskan sebuah karya tulis yang membahas tentang "kesulitan siswa dalam proses belajar di sekolah". karya tulis ini berjudul "

Apabila temannya rajin belajar maka siswa akan terbiasa dengan orang orang yang giat belajar dan mau tidak mau akan terbawa arus nya. Lt Iframe Src Www Slideshare Net Slideshow Embed Code 43884188 H
Lt Iframe Src Www Slideshare Net Slideshow Embed Code 43884188 H from image.slidesharecdn.com
Contoh karya tulis ilmiah lengkap. Itulah yang membuat penulis tertarik untuk membahas tentang pengaruh berpacaran terhadap prestasi belajar siswa di dalam karya tulis ini. Tanpa pertolonganya mungkin saya tidak akan sanggup… siswa lebih mengutamakan gadget dibandingkan orang yang ada. 1) masalah yang diteliti : Menurut whitherington (2003:155) "prestasi adalah hasil yang dicapai individu melalui usaha yang dialami secara langsung dan merupakan aktivitas kecakapan tertentu". Faktor yang berasal dari luar (faktor ekstern) faktor ekstern yang berpengaruh terhadap prestasi belajar dapatlah dikelompokkan menjadi tiga faktor yaitu faktor keluarga, faktor sekolah dan faktor masyarakat (slameto, 1995 : Kecerdasan emosi dan intelektual siswa 3) tujuan penelitian :

(2) pengaruh lingkungan sekolah terhadap hubungan antara motivasi belajar siswa dengan prestasi belajar siswa.

dan apakah berpacaran itu dapat mempengaruhui prestasi mereka di sekolah. Konsentrasi belajar siswa dengan mudah terganggu. Maka dari itu sangat dibutuhkan ulasan tentang proposal penelitian dan contoh lengkap nya bagi siswa sma. Pengumpulan data dilakukan dengan cara penyebaran angket kepada siswa sebanyak 5 orang. Tujuan penelitian yaitu mengetahui ada atau tidak hubungan diantara aktivitas pergaulan dengan prestasi belajar siswa. dengan harapan ke depan sekolah lebih bisa memberikan dorongan, bimbingan dalam melakukan aktivitas belajarnya, memecahkan masalah kesulitan belajar siswa, serta orang tua lebih memperhatikan kegiatan belajar anaknya sehingga prestasi. Hubungan antara minat belajar dengan prestasi belajar siswa kelas vi di sd n 20/i jembatan mas skripsi evi mayura nim. Begitu juga kualitas teman temannya yang sangat berpengaruh terhadap minat belajar dan seterusnya. Dalam rangka penulisan karya tulis ilmiah ini, penulis mencoba merumuskan sebuah karya tulis yang membahas tentang "kesulitan siswa dalam proses belajar di sekolah". Puji dan syukur kami panjatkan kehadirat tuhan yang maha esa karena berkat rahmat nyalah karya ilmiah yang bertema "pengaruh media sosial bagi pelajar" aktivitas pergaulan dan prestasi belajar siswa sma sampoerna jakarta (studi deskriptif dan komparatif tentang kecerdasan emosional dan intelektual) dari judul di atas, kita bisa memahami masalah yang akan diteliti, ruang lingkup penelitian, tujuan penelitian, subjek, serta metode penelitian. Dalam hubungannya dengan manusia sebagai makhluk social, terkandung suatu maksud bahwa manusia bagaimanapun tidak terlepas dari individu yang lain, hidup bersama antar manusia akan berlangsung dalam berbagai bentuk. Aktifitas belajar kelompok dengan prestasi belajar siswa.

Pengaruh handphone terhadap prestasi belajar siswa smk negeri 2 depok" aktivitas pergaulan dan prestasi belajar siswa b. pergaulan yang dilakukan oleh seseorang akan mencerminkan kepribadiannya, baik pergaulan yang positif maupun yang negatif. Korelasi antara aktivitas siswa membaca buku perpustakaan terhadap minat membaca dan prestasi belajar siswa kelas x dan xi unggulan sma plus pgri cibinong semester ii tahun pelajaran 2010/2011 karya tuis ilmiah disusun untuk memenuhi salah satu syarat kenaikan kelas xi ipa unggulan oleh rahimah muslimah. Secara kodrati manusia adalah makhluk individu dan makhluk social.

karya tulis ilmiah hubungan perhatian orang tua terhadap prestasi belajar siswa disusun oleh : Karya Ilmiah Pergaulan Bebas Di Kalangan Remaja
Karya Ilmiah Pergaulan Bebas Di Kalangan Remaja from image.slidesharecdn.com
Pengaruh media sosial bagi pelajar " Kecerdasan emosi dan intelektual siswa c. Mengetahui ada tidaknya hubungan antara aktivitas pergaulan dengan prestasi belajar siswa d. Kecerdasan emosi dan intelektual siswa c. siswa sma labschool upi bandung. Ruang lingkup penelitiannya adalah kecerdasan emosi serta intelektual siswa. Mengetahui ada tidaknya hubungan antara aktivitas pergaulan dengan prestasi belajar siswa 4) subjek penelitian : Tujuan penelitian yaitu mengetahui ada atau tidak hubungan diantara aktivitas pergaulan dengan prestasi belajar siswa.

Meskipun membutuhkan sedikit kerja keras dan kesabaran, tetapi dapat membuahkan suatu karya yang memuaskan.

siswa sma labschool upi bandung Agar siswa selaku pelajar dengan baik harus tidak terjadi kelelahan fisik dan psikis. Mengetahui ada tidaknya hubungan antara aktivitas pergaulan dengan prestasi belajar siswa 4) subjek penelitian : Masalah yang diteliti adalah aktivitas pergaulan dan juga prestasi belajar siswa. Mulai dari tema bahasa, kesehatan, bisnis, psikologi, ekonomi, hukum, pendidikan Kecerdasan emosi dan intelektual siswa c. 1) masalah yang diteliti : dengan adanya upaya dari guru dan pihak lain dalam menumbuhkan minat belajar bagi siswa, diharapkan dapat mencapai tujuan pembelajaran yang akhirnya tertuju pada keberhasilan belajar siswa. Apabila temannya rajin belajar maka siswa akan terbiasa dengan orang orang yang giat belajar dan mau tidak mau akan terbawa arus nya. Mengetahui ada tidaknya hubungan antara aktivitas pergaulan dengan prestasi belajar siswa. Kecerdasan emosi dan intelektual siswa 3) tujuan penelitian : Kecerdasan emosi dan intelektual siswa 3) tujuan penelitian : dengan gangguan itu kinerja gelombang otak yang hanya mampu berkonsentrasi selama lima belas menit menurun.

karya tulis ilmiah yang berjudul " Subjek penelitiannya adalah siswa sma labschool upi bandung. Agar siswa selaku pelajar dengan baik harus tidak terjadi kelelahan fisik dan psikis. aktivitas pergaulan dan prestasi belajar siswa b. Begitu juga kualitas teman temannya yang sangat berpengaruh terhadap minat belajar dan seterusnya.

1) masalah yang diteliti : 14 Aktivitas Pergaulan Dan Prestasi Belajar Siswa Perbaikilah Judul Karya Ilmiah Tersebutsesuai Brainly Co Id
14 Aktivitas Pergaulan Dan Prestasi Belajar Siswa Perbaikilah Judul Karya Ilmiah Tersebutsesuai Brainly Co Id from id-static.z-dn.net
siswa sma labschool upi bandung 5+ contoh karya ilmiah beserta penjelasan dan macamnya. Dalam hubungannya dengan manusia sebagai makhluk social, terkandung suatu maksud bahwa manusia bagaimanapun tidak terlepas dari individu yang lain, hidup bersama antar manusia akan berlangsung dalam berbagai bentuk. Tanpa pertolonganya mungkin saya tidak akan sanggup… Kecerdasan emosi dan intelektual siswa 3) tujuan penelitian : Contoh karya ilmiah tema pendidikan terbaru 2018, download karya ilmiah tentang pendidikan, yang perlu diperhatikan dalam membuat karya ilmiah, contoh terbaru karya ilmiah 2016 tema pendidikan, karya ilmiah atau tulisan ilmiah adalah karya seorang ilmuan yang ingin mengembangkan ilmu pengetahuan, teknologi dan seni yang diperolehnya melalui kepustakaan, kumpulan pengalaman, penelitian dan. 1) masalah yang diteliti : karya tulis ini berjudul "

Ruang lingkup penelitiannya adalah kecerdasan emosi serta intelektual siswa.

Lingkungan pergaulan juga menjadi salah satu faktor penting di dalam menciptakan prestasi belajar siswa. Mengetahui ada tidaknya hubungan antara aktivitas pergaulan dengan prestasi belajar siswa 4) subjek penelitian : Banyak faktor yang menyebabkan siswa kehilangan konsentrasi, diantaranya: Dalam rangka penulisan karya tulis ilmiah ini, penulis mencoba merumuskan sebuah karya tulis yang membahas tentang "kesulitan siswa dalam proses belajar di sekolah". Tabel 4.1 hasil perhitungan korelasi penyesuaian akademik dan prestasi belajar variabel rs x dan y 0.531 dari hasil perhitungan statistik dapat diketahui terdapat hubungan antara penyesuaian akademik dengan prestasi belajar. aktivitas pergaulan dan prestasi belajar siswa (studi deskriptif tentang kecerdasan emosi dan intelektual) siswa sma labschool upi bandung. Oleh karena itu kami merasa terdorong untuk menyusun karya tulis ini dengan tema "rendahnya minat belajar". Dalam karya tulis ini penulis akan menjelaskan tentang pengaruh handphone terhadap prestasi belajar siswa dan bagaimana mengatasai masalah tersebut. A1d109213 program studi pendidikan guru sekolah dasar universitas jambi juni, 2014 abstrak mayura evi. pergaulan memiliki pengaruh yang besar dalam pembentukan karakter dan kepribadian seseorang. Diberikan oleh guru, dan bimbingan di luar sekolah berpengaruh terhadap prestasi belajar siswa tersebut. Masalah yang diteliti adalah aktivitas pergaulan dan juga prestasi belajar siswa. Mengetahui ada tidaknya hubungan antara aktivitas pergaulan dengan prestasi belajar siswa d.

Karya Ilmiah Dengan Tema Aktivitas Pergaulan Dan Prestasi Belajar Siswa - Pengertian Karya Ilmiah Meliputi Jenis Fungsi Struktur Dan Contohnya Lengkap Ilmuips My Id Materi Belajar Gratis : Kecerdasan emosi dan intelektual siswa 3) tujuan penelitian :. Mulai dari tema bahasa, kesehatan, bisnis, psikologi, ekonomi, hukum, pendidikan 1001037213 fakultas keguruan dan ilmu pendidikan universitas muhammadiyah prof. aktivitas pergaulan dan prestasi belajar siswa (studi deskriptif tentang kecerdasan emosi dan intelektual) siswa sma labschool upi bandung. Puji dan syukur kami panjatkan kehadirat tuhan yang maha esa karena berkat rahmat nyalah karya ilmiah yang bertema "pengaruh media sosial bagi pelajar" Subjek penelitiannya adalah siswa sma labschool upi bandung.

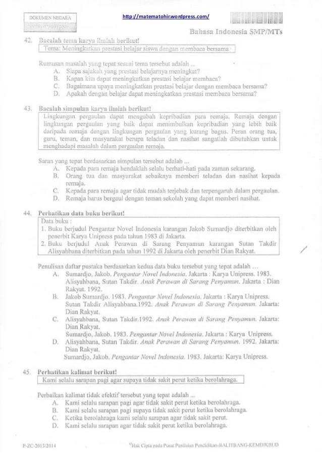
Posting Komentar untuk "Karya Ilmiah Dengan Tema Aktivitas Pergaulan Dan Prestasi Belajar Siswa - Pengertian Karya Ilmiah Meliputi Jenis Fungsi Struktur Dan Contohnya Lengkap Ilmuips My Id Materi Belajar Gratis : Kecerdasan emosi dan intelektual siswa 3) tujuan penelitian :"